在用 LaTeX 进行公式排版时,容易出现公式长度超过一行或者公式上下占用较大文本区域的情况。对此我们可以从多个方面对其进行调整,以压缩公式所占据的面积,从而有助于实现自己需要的排版效果。
缩小公式内部的空隙宽度
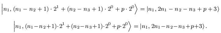
如果一个公式的宽度仅少量超出文本宽度,则可以通过命令 “\!” 压缩公式中字符之间的间距。例如由 LaTeX 代码
\begin{equation*}
\Ket{n_1,(n_1-n_2+1)\cdot 2^1+(n_2-n_3+1)\cdot 2^0+p\cdot 2^0}=\Ket{n_1,2n_1-n_2-n_3+p+3}
\end{equation*}
\begin{equation*}
\Ket{n_1,(n_1\!-\!n_2\!+\!1)\!\cdot\!2^1\!+\!(n_2\!-\!n_3\!+\!1)\!\cdot\!2^0\!+\!p\!\cdot\!2^0} =\Ket{n_1,2n_1\!-\!n_2\!-\!n_3\!+\!p\!+\!3}\label{eq:4}.
\end{equation*}
生成的排版为
缩小公式上下的空隙高度
如果感觉公式上下距离环境文本的间隙过大,则可以通过命令“\setlength\abovedisplayskip{3pt}” 和 “\setlength\belowdisplayskip{3pt}”来分别设置公式上和下的空隙高度,其中”3pt“即为空隙高度的具体数值,值越小则空隙越小。
例如代码:
\begin{equation}
\setlength\abovedisplayskip{3pt}%shrink space
\setlength\belowdisplayskip{3pt}
\Ket{n_3,n_2,n_1,p}\label{eq:1},
\end{equation}
和代码:
\begin{equation}
\Ket{n_3,n_2,n_1,p}\label{eq:1},
\end{equation}
所产生的排版效果分别为
和
将公式缩小为行内形式
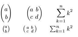
二项式系数、矩阵、累加等符号都可以缩小为行内形式。例如代码
\begin{eqnarray*}
\dbinom{a}{b}\qquad\begin{pmatrix}a&b\\c&d\end{pmatrix}\qquad\sum_{k=1}^n k^2\\
\tbinom{a}{b}\qquad\bigl(\begin{smallmatrix}a&b\\c&d\end{smallmatrix}\bigr)\qquad\begin{matrix}\sum_{k=1}^n k^2\end{matrix}
\end{eqnarray*}
效果如下:

老唐笔记

















